Ответы
Ответ дал:
0
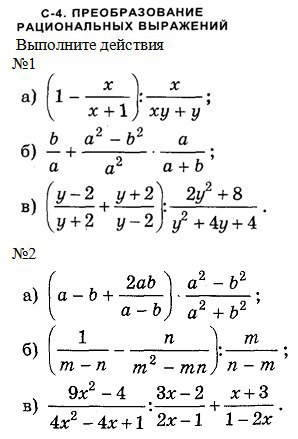
a) (x+1-x)/(x+1)=1/(x+1)
(1/(x+1)*(y(x+1)/x=
=(1*y(x+1)/
/(x+1)*x=y/x
b) a²-b²=(a-b)(a+b)
(a-b)(a+b)*a)/
/(a² *(a+b))=(a-b)/a
b/a+(a-b)/a=(b+a-b)/a=a/a=1
(1/(x+1)*(y(x+1)/x=
=(1*y(x+1)/
/(x+1)*x=y/x
b) a²-b²=(a-b)(a+b)
(a-b)(a+b)*a)/
/(a² *(a+b))=(a-b)/a
b/a+(a-b)/a=(b+a-b)/a=a/a=1
Ответ дал:
0
a) (x+1-x)/(x+1)=1/(x+1) (1/(x+1)*(y(x+1)/x= =(1*y(x+1)/ /(x+1)*x=y/x b) a²-b²=(a-b)(a+b) (a-b)(a+b)*a)/ /(a² *(a+b))=(a-b)/a b/a+(a-b)/a=(b+a-b)/a=a/a=1
Вас заинтересует
2 года назад
2 года назад
8 лет назад
8 лет назад
10 лет назад
10 лет назад
10 лет назад