• Предмет: Математика
  • Автор: ismailovalyubov
  • Вопрос задан 10 лет назад

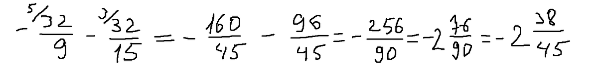
-329-3215 ????????

Ответы

Ответ дал: kristina00
0
решение на фото)))))
Приложения:
Вас заинтересует