• Предмет: Математика
  • Автор: ansar2031
  • Вопрос задан 10 лет назад

Помогите мне пожалуйста очень нужна помащь!!!

Приложения:

Ответы

Ответ дал: kristina00
0
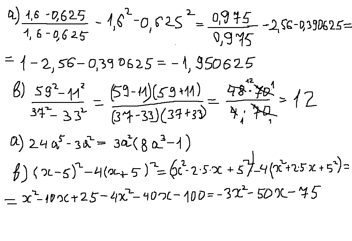
решение на фото))))))
Приложения:
Вас заинтересует