Ответы
Ответ дал:
0
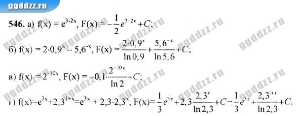
Потому что в показателе был -х. Если первообразная функции f(x) равна F(x), то первообразной от функции f(cx), где с - константа, будет 1/c*F(cx). У вас с=-1.
Например, первообразная функции
будет тоже
.
Первообразная функции
будет уже 
Первообразная функции
будет 
В вашем примере было
По вышеукзаанному правилу первообразная от этой функции равна
.
Ну и это выражение вычиталось, т.е. минус на минус дал плюс.
Например, первообразная функции
Первообразная функции
Первообразная функции
В вашем примере было
Ну и это выражение вычиталось, т.е. минус на минус дал плюс.
Ответ дал:
0
мы такого свойства не изучали,я даже не понял его. можно на простом обьяснить почему там знак сменился?
Ответ дал:
0
я дописал примеры
Вас заинтересует
3 года назад
3 года назад
8 лет назад
8 лет назад
10 лет назад