Ответы
Ответ дал:
0
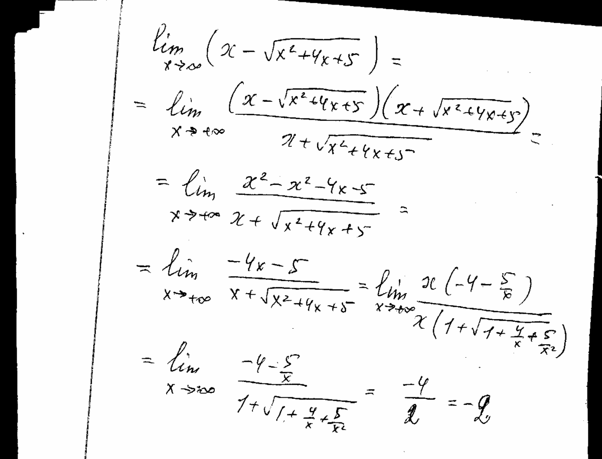
Чтобы избавиться от разности с квадратным корнем умножим и разделим на сумму, чтобы получилась формула разности квадратов.
Второе задание очень долго писать.
Второе задание очень долго писать.
Приложения:

Вас заинтересует
2 года назад
2 года назад
10 лет назад
10 лет назад
10 лет назад