Ответы
Ответ дал:
0
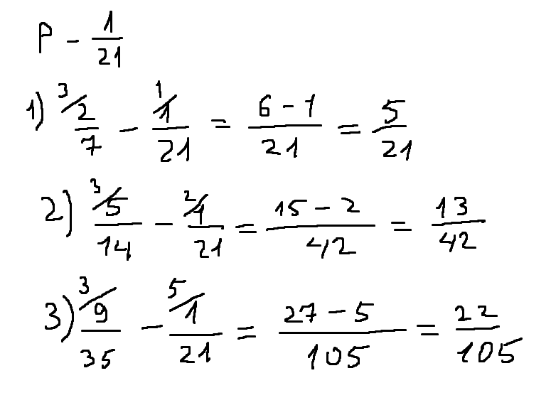
1) 2/7-1/21=6/21-1/21=5/21; 2)5/14-1/21=15/42-2/42=13/42; 3)9/35-1/21=27/105-5/105=22/105.
Ответ дал:
0
спасибо!!!
Ответ дал:
0
решение на фото)))))))
Приложения:

Ответ дал:
0
спасибо!:-)
Вас заинтересует
2 года назад
7 лет назад
7 лет назад
10 лет назад
10 лет назад