Ответы
Ответ дал:
0
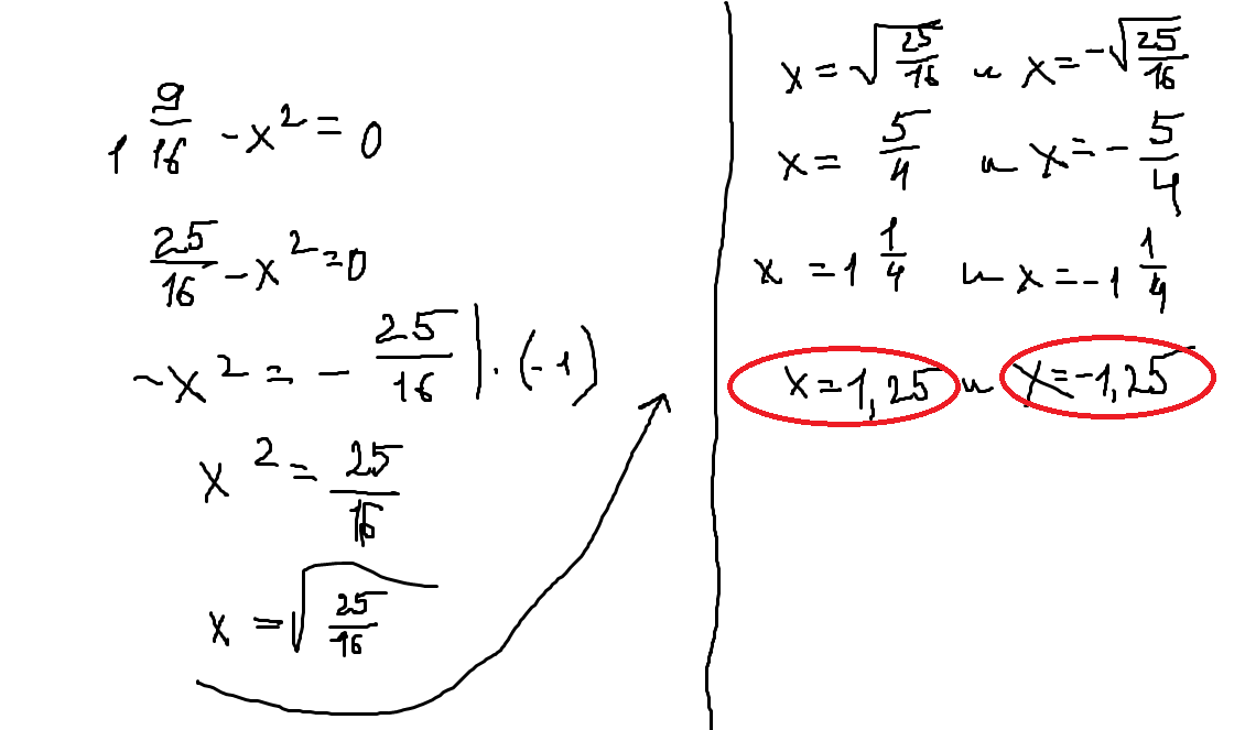
x^2 = 1 9/16
x^2 = 25/16
возводим в корень левую и правую часть уравнения
x = +- 5/4
x1 = 1.25; x2 = -1.25
x^2 = 25/16
возводим в корень левую и правую часть уравнения
x = +- 5/4
x1 = 1.25; x2 = -1.25
Ответ дал:
0
погоди, если 1 9/16 это смешанная дробь, то это 25/16, если 1 - это у тебя номер задания так напечатлся, то ответ 0.75 и -0.75
Ответ дал:
0
надеюсь все понятно :)
Ответ дал:
0
Квадратное уравнение, имеет 2 корня: 1,25 и -1,25.
Ответ: х1=1,25; х2=-1,25.
Удачи!
Ответ: х1=1,25; х2=-1,25.
Удачи!
Приложения:

Вас заинтересует
2 года назад
2 года назад
7 лет назад
7 лет назад
10 лет назад
10 лет назад