• Предмет: Математика
  • Автор: SONYAELISEEVA2002
  • Вопрос задан 10 лет назад

Прошу помогите с 1091 заданием 1 пример
Заранее огромное спасибо

Приложения:

Ответы

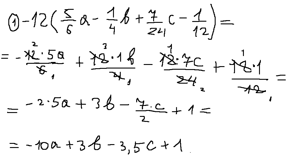
Ответ дал: slonik838
0
вот решение задания.....
Приложения:
Ответ дал: kristina00
0
решение на фото)))))))
Приложения:
Вас заинтересует