Ответы
Ответ дал:
0
-
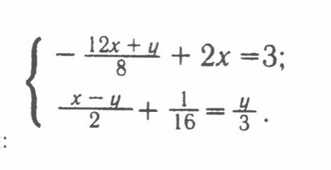
(12х+у)/8+2x=3
(систему нужно обозначить скобкой)
(x-y)/2+1/16=y/3
Избавимся от дробей
- (12х+у)/8+2x=3 (умножим на 8)
(x-y)/2+1/16=y/3 (умножим на 48)
-8*(12х+у)/8+8*2х=8*3
48*(x-y)/2+48*1/16=48*y/3
-(12х+у)+16х=24
24(x-y)+3=16y
-12x-y+16x=24
24x-24y+3=16y
4x-y=24
24x-24y+3-16y=0
4x-y=24
24x-40y+3=0
Решим систему методом подстановки:
Выразим у из первого уравнения:
-y=24-4х (умножим на -1)
у=4х-24
Подставим значение у во второе уравнение:
24x-40(4х-24)+3=0
24х-160х+960+3=0
-136х+963=0
-136х=-963
х=963/136
y=4х-24=4*963/136-24=3852/136-24=963/34-24=(963-816)/34=147/34
Проверим:
Уравнение 1:
- (12*963/136+147/34)/8+2*963/136=3
(-11556/136-147/34)/8+1926/136=3
(-89 5/17):8+1926/136=3
-11 11/68+1926/136=3
3=3
Уравнение 2:
(x-y)/2+1/16=y/3
(963/136-147/34)/2+1/16=147/34:3
375/136:2+1/16=49/34
375/272+1/16=49/34
49/34=49/34
Ответ: х= 963/136=7 11/136, y=147/34= 4 11/34
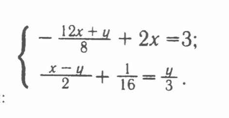
(x-y)/2+1/16=y/3
Избавимся от дробей
- (12х+у)/8+2x=3 (умножим на 8)
(x-y)/2+1/16=y/3 (умножим на 48)
-8*(12х+у)/8+8*2х=8*3
48*(x-y)/2+48*1/16=48*y/3
-(12х+у)+16х=24
24(x-y)+3=16y
-12x-y+16x=24
24x-24y+3=16y
4x-y=24
24x-24y+3-16y=0
4x-y=24
24x-40y+3=0
Решим систему методом подстановки:
Выразим у из первого уравнения:
-y=24-4х (умножим на -1)
у=4х-24
Подставим значение у во второе уравнение:
24x-40(4х-24)+3=0
24х-160х+960+3=0
-136х+963=0
-136х=-963
х=963/136
y=4х-24=4*963/136-24=3852/136-24=963/34-24=(963-816)/34=147/34
Проверим:
Уравнение 1:
- (12*963/136+147/34)/8+2*963/136=3
(-11556/136-147/34)/8+1926/136=3
(-89 5/17):8+1926/136=3
-11 11/68+1926/136=3
3=3
Уравнение 2:
(x-y)/2+1/16=y/3
(963/136-147/34)/2+1/16=147/34:3
375/136:2+1/16=49/34
375/272+1/16=49/34
49/34=49/34
Ответ: х= 963/136=7 11/136, y=147/34= 4 11/34
Вас заинтересует
3 года назад
8 лет назад
10 лет назад
10 лет назад