• Предмет: Математика
  • Автор: мисссаера
  • Вопрос задан 10 лет назад

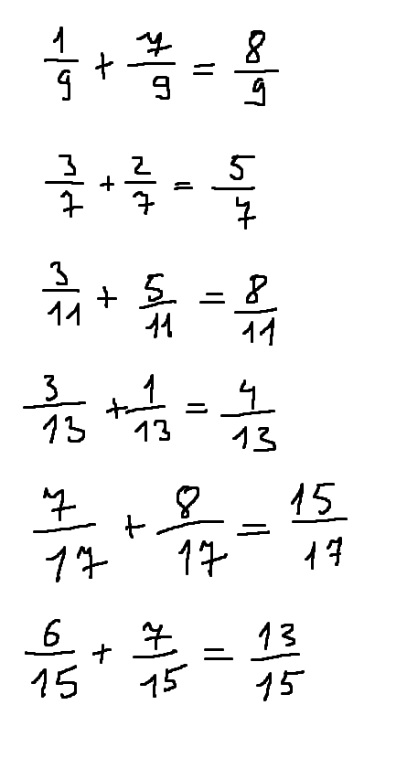
1/9+7/9= 3/7+2/7= 3/11+5/11= 3/13+1/13= 7/17+8/17= 6/15+7/15=

Ответы

Ответ дал: kristina00
0
решение на фото)))))
Приложения:
Вас заинтересует