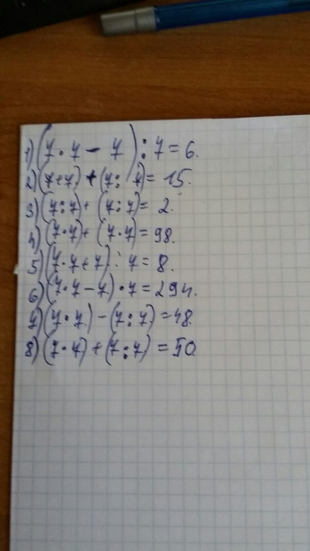
расставь знаки арифметических действий если нужно скобки 7 7 7 7= 6 7777=15 7777=2 7777=98 7777=8 7777=294 7777=48 7777=50
Ответы
Ответ дал:
0
Не забудь поблагодарить!!
там где деление и произведение скобки можешь не ставить))
там где деление и произведение скобки можешь не ставить))
Приложения:

Ответ дал:
0
спасибо
Вас заинтересует
2 года назад
10 лет назад
10 лет назад
10 лет назад
10 лет назад