• Предмет: Математика
  • Автор: Yliop
  • Вопрос задан 10 лет назад

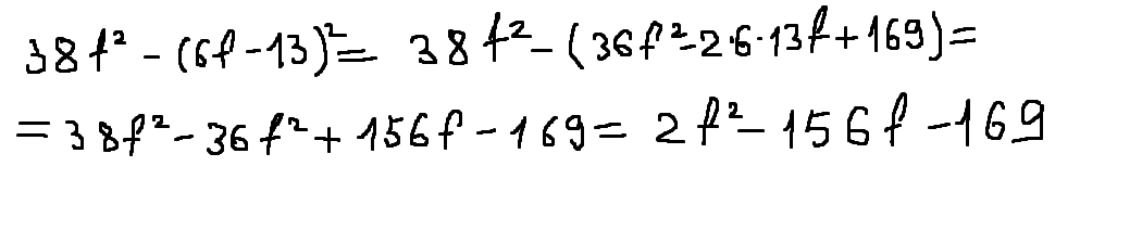
38f^2 -(6f-13)^2 помогите решить

Ответы

Ответ дал: kristina00
0
решение на фото)))))
Приложения:
Вас заинтересует