• Предмет: Математика
  • Автор: poiwere
  • Вопрос задан 10 лет назад

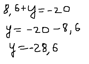
8,6+у=-20 помогите пожалуйста

Ответы

Ответ дал: kristina00
0
решение на фото))))))
Приложения:
Вас заинтересует