• Предмет: Математика
  • Автор: Sofiyshka
  • Вопрос задан 10 лет назад

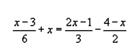
Помогите решить

frac{x-3}{6} $$+ x = $$ frac{2x-1}{3} $$ - $$ frac{4-x}{2} $$<br />

Приложения:

Ответа на этот вопрос пока нет. Попробуйте найти его через форму поиска.

Вас заинтересует