• Предмет: Алгебра
  • Автор: Debil800lvl
  • Вопрос задан 10 лет назад

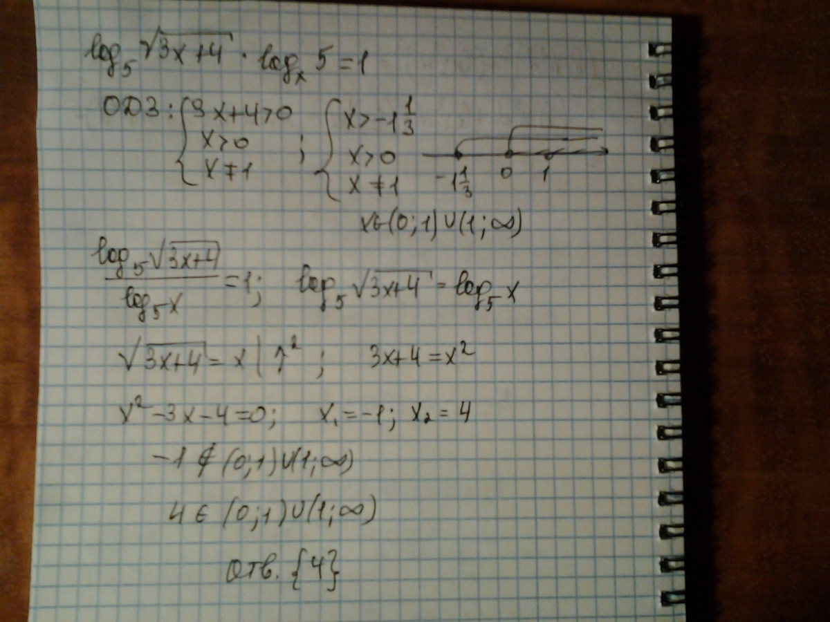
Помогите решить логарифмическое уравнение: log √3x+4 5 * log5 x=1

В данном случае выражение 3x+4 полностью под корнем. Дальше напишу словами чтобы вы лучше поняли: " логарифм √3x+4 ( 3x+4 полностью под корнем) по основанию 5 умножить на log 5 по основанию x равно 1.

Ответы

Ответ дал: okneret
0
Использованы свойства логарифмов
Приложения:
Ответ дал: Debil800lvl
0
спасибо большое!!!
Вас заинтересует