• Предмет: Алгебра
  • Автор: rezedacat4
  • Вопрос задан 10 лет назад

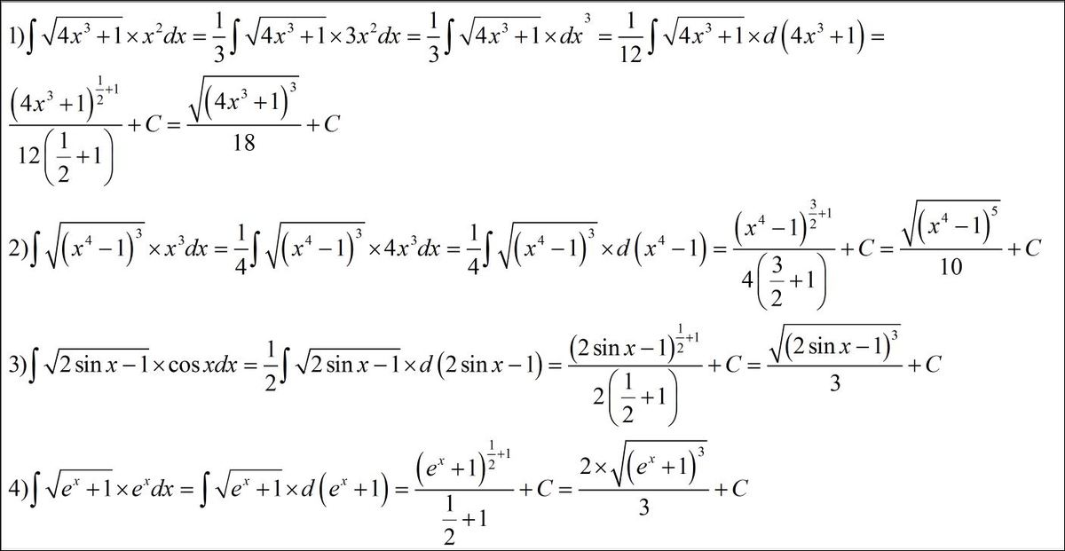
№61 по подробнее ,пожалуйста .

Приложения:

Ответы

Ответ дал: Аноним
0
решение - во вложении
1)(4x³+1)'=12x²
2)(x^4-1)'=4x³
3)(2sinx)'=2cosx
4)(e^x)'=e^x
Приложения:
Вас заинтересует