СРОЧНО !!!
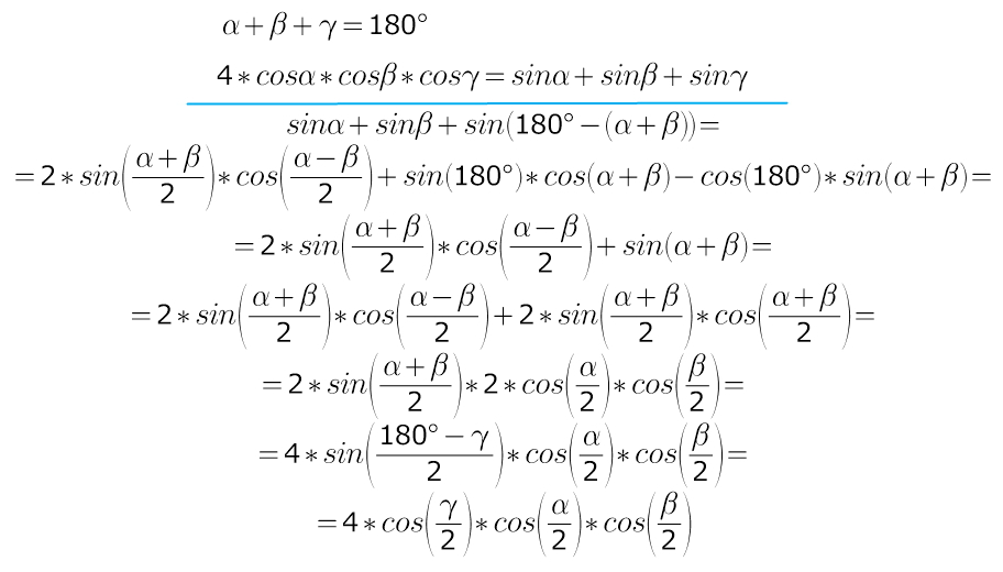
Докажите, что если альфа,бета,гамма - углы треугольника, то выполняется равенство:4*cos(альфа/2)*cos(бета/2)*cos(гамма/2)=sin(альфа)+sin(бета)+sin(гамма)
Ответы
Ответ дал:
0
использованы формулы:
--сумма синусов,
--синус разности,
--синус двойного аргумента
и формулы приведения)))
--сумма синусов,
--синус разности,
--синус двойного аргумента
и формулы приведения)))
Приложения:
Вас заинтересует
3 года назад
3 года назад
8 лет назад
10 лет назад
11 лет назад