• Предмет: Алгебра
  • Автор: stfm
  • Вопрос задан 10 лет назад

Помогите решить, пожалуйста срочно, не могу  решить

Приложения:

Ответы

Ответ дал: kirichekov
0
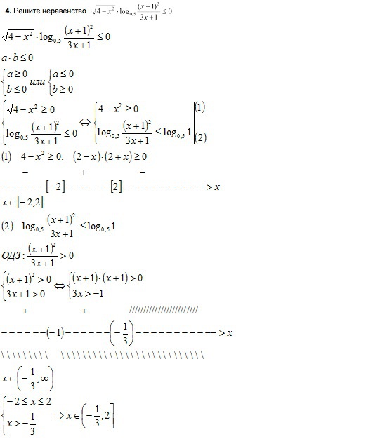
решение во вложении---------------------------
Приложения:
Вас заинтересует