Ответы
Ответ дал:
0
просто:
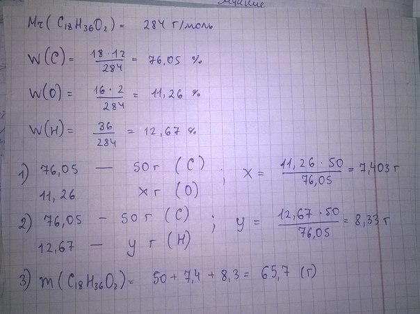
1) (18 х 12)/284= 0,7605 %
2) 50 : 0,7605 = 65,7 (г)
есть второй,более длинный ответ,писать его?
таким образом мы определяем то,что задача была решена верно.))
1) (18 х 12)/284= 0,7605 %
2) 50 : 0,7605 = 65,7 (г)
есть второй,более длинный ответ,писать его?
таким образом мы определяем то,что задача была решена верно.))
Приложения:

Ответ дал:
0
Напиши
Ответ дал:
0
готово)
Ответ дал:
0
фото выше
Ответ дал:
0
Спасибо огромное
Ответ дал:
0
обращайтесь))
Вас заинтересует
2 года назад
2 года назад
7 лет назад
7 лет назад
10 лет назад
10 лет назад