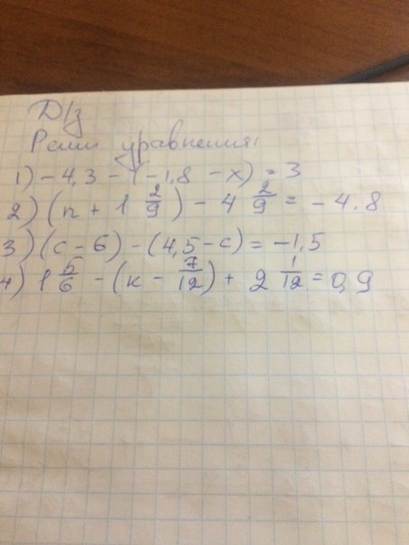
Решите плиз уравнения: 1. -4,3-(-1,8-x)=3 2. (n+1 2/9)-4 2/9=-4.8 3. (с-6)-(4.5-с=1.5
4. 1 5/6-(к-7/12)+2 1/12=0.9
Приложения:

Ответа на этот вопрос пока нет. Попробуйте найти его через форму поиска.
Вас заинтересует
2 года назад
2 года назад
7 лет назад
7 лет назад
10 лет назад
10 лет назад