• Предмет: Математика
  • Автор: вайтрам
  • Вопрос задан 11 лет назад

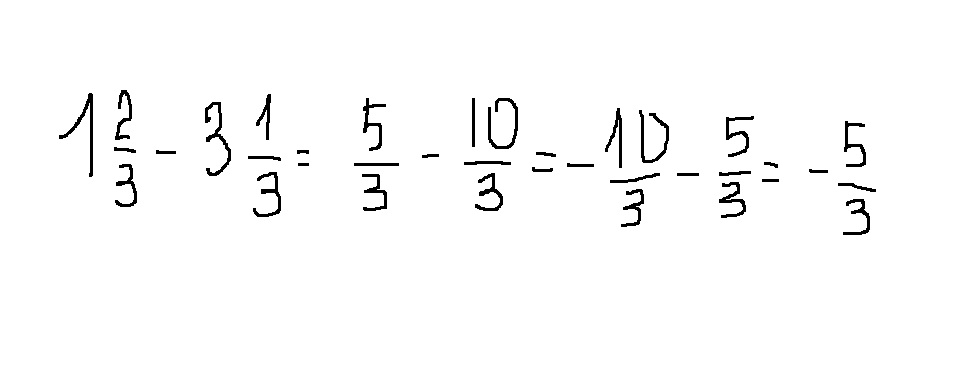
дробь одна целая две третьих : ( - три целых одна третья ) =

Ответы

Ответ дал: ToriFilka
0

каааак тооо таак))))))))))

Приложения:
Вас заинтересует