• Предмет: Информатика
  • Автор: mityugova2001
  • Вопрос задан 10 лет назад

Помогите,пожалуйста!!!
Начертите блок-схему
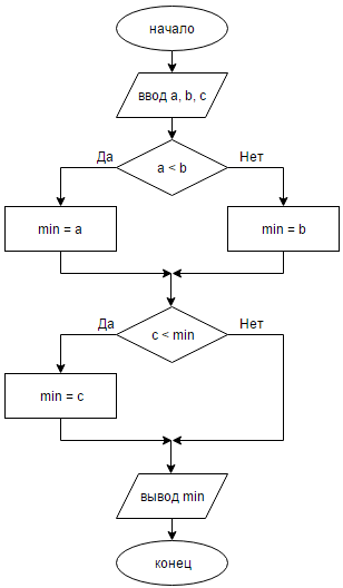
Даны 3 числа,вывести наименьшее

Ответы

Ответ дал: petyaGavrikov
0
Блок-схема - в прилагаемом файле.
Приложения:
Вас заинтересует