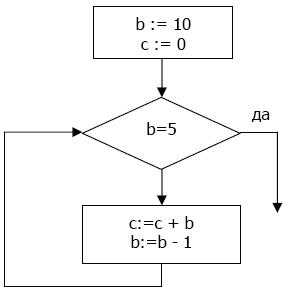
определите значение переменной с после выполнения фрагмента алгоритма, записанного в виде блок-схемы:( вложение)
В ответ укажите одно число - значение переменной с
Приложения:
Ответы
Ответ дал:
0
Алгоритм содержит цикл с предусловием. Цикл выполняется до тех пор, пока b≠5. Начальное значение b=10, а в теле цикла b уменьшается каждый раз на 1, т.е. цикл будет выполнен для b=10,9,8,7,6 - пять раз.
В цикле переменная с накапливает сумму значений b, следовательно по окончании цикла с = 10+9+8+7+6 = 40
Ответ: 40
В цикле переменная с накапливает сумму значений b, следовательно по окончании цикла с = 10+9+8+7+6 = 40
Ответ: 40
Вас заинтересует
3 года назад
8 лет назад
11 лет назад
11 лет назад
11 лет назад