• Предмет: Математика
  • Автор: solosoxi
  • Вопрос задан 10 лет назад

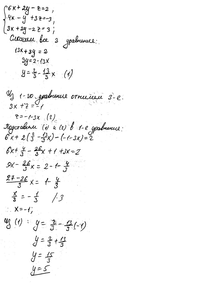
Решите линейное уравнение с тремя переменными.

6x+2y-z=2
4x-y+3z=-3
3x+2y-2z=3

Заранее спасибо!

Ответы

Ответ дал: bearcab
0
Решение в приложении. х=-1, у=5, z=2.
Приложения:
Вас заинтересует