• Предмет: Алгебра
  • Автор: ryabovolnatash
  • Вопрос задан 10 лет назад

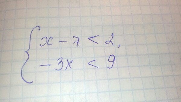
решите систему неравеств

Приложения:

Ответа на этот вопрос пока нет. Попробуйте найти его через форму поиска.

Вас заинтересует