• Предмет: Математика
  • Автор: serejavaranenka
  • Вопрос задан 10 лет назад

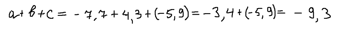
Найдите значение выражения:a+b+c,при условии,что a=-7,7;b=4,3;c=-5,9

Ответы

Ответ дал: l0l0l0l0
0
Надо было просто подставить в формулу: -7,7+4,3-5,9=-9,3
Ответ дал: kristina00
0
решение на фото))))))
Приложения:
Вас заинтересует