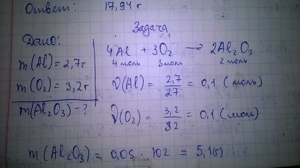
вычислите массу оксида алюминия,который образовался в результате взаимодейстивия 2.7г. алюминия с 3.2г кислорода
Ответы
Ответ дал:
0
.............................................
Приложения:

Вас заинтересует
2 года назад
2 года назад
7 лет назад
10 лет назад
10 лет назад