• Предмет: Математика
  • Автор: loz316
  • Вопрос задан 10 лет назад

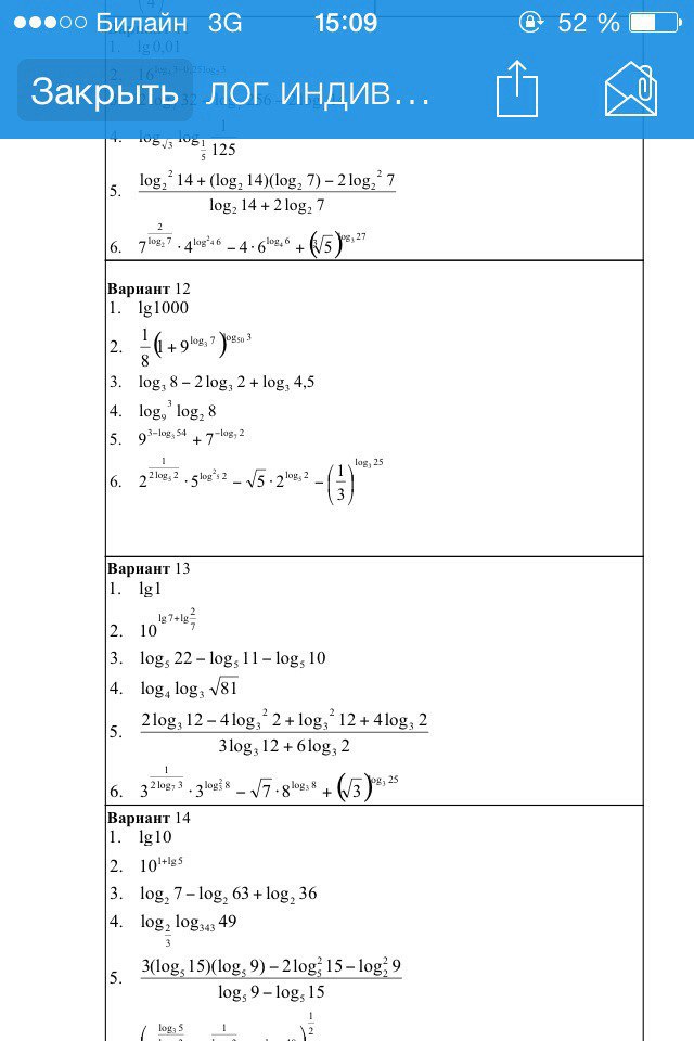
13в 5,6 пожалуйста ) очень нужна помощь

Приложения:

Ответа на этот вопрос пока нет. Попробуйте найти его через форму поиска.

Вас заинтересует