• Предмет: Математика
  • Автор: Kaspiuskih031
  • Вопрос задан 10 лет назад

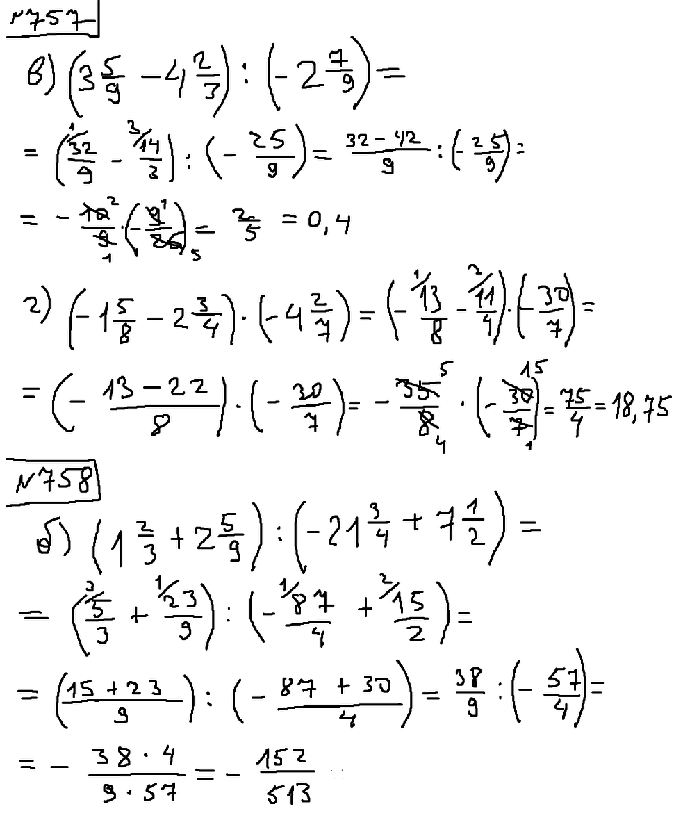
помогите номера 757 (в. г) и 758(б .)

Приложения:

Ответы

Ответ дал: kristina00
0
решение на фото))))))
Приложения:
Вас заинтересует