Ответы
Ответ дал:
0
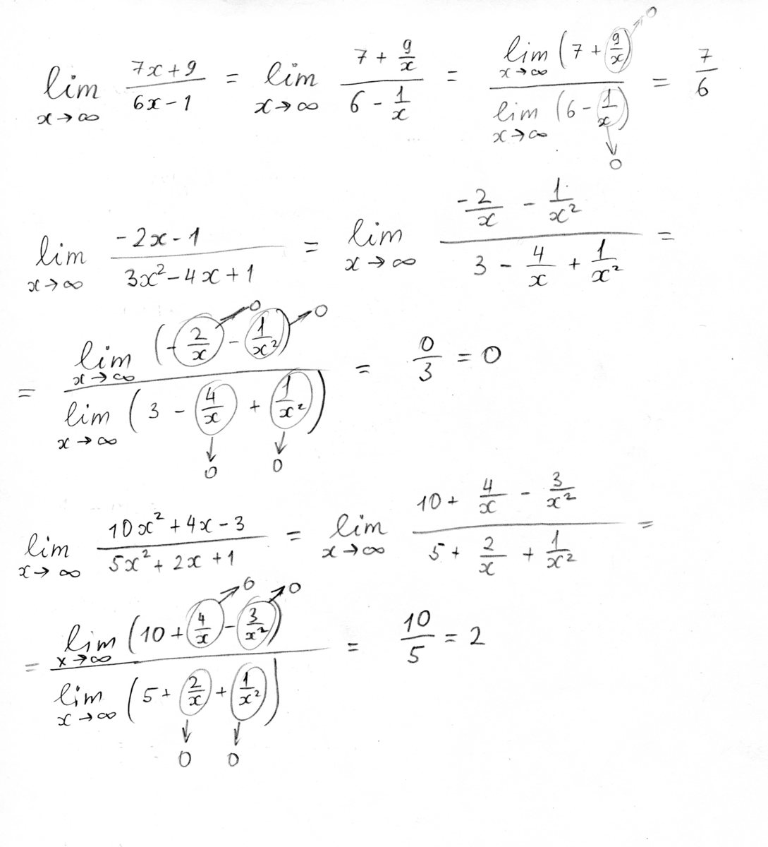
см. изображение, которое я присобачил ниже.
Приложения:

Вас заинтересует
7 лет назад
7 лет назад
10 лет назад
10 лет назад
10 лет назад