Ответы
Ответ дал:
0
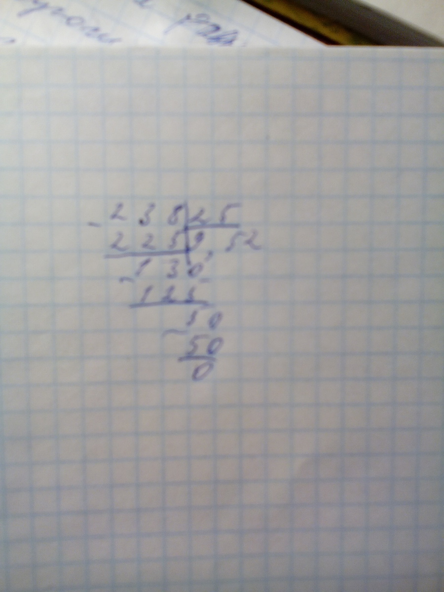
238:25=9,52
------------------
------------------
Приложения:
Вас заинтересует
2 года назад
2 года назад
8 лет назад
8 лет назад
10 лет назад
10 лет назад
10 лет назад
10 лет назад