Ответы
Ответ дал:
0
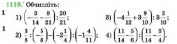
пример (2)
1)3/8÷(-5/8)=(-3/5)
2)2 целых 1/4 ÷ 1 целую 4/11=(-1 целая 13/20)
3)-3/5 - 1 целая 13/20=-2 целых 1/4
пример (3)
1)-4 целых 1/12 + 3 целых 9/10=-11/60
2)-11/60÷3 целых 3/10=-1/18
решала по действиям
1)3/8÷(-5/8)=(-3/5)
2)2 целых 1/4 ÷ 1 целую 4/11=(-1 целая 13/20)
3)-3/5 - 1 целая 13/20=-2 целых 1/4
пример (3)
1)-4 целых 1/12 + 3 целых 9/10=-11/60
2)-11/60÷3 целых 3/10=-1/18
решала по действиям
Ответ дал:
0
Спасибо большое. Просто спасла)
Ответ дал:
0
не за что)
Вас заинтересует
2 года назад
8 лет назад
8 лет назад
10 лет назад
10 лет назад