Ответы
Ответ дал:
0
вот:)
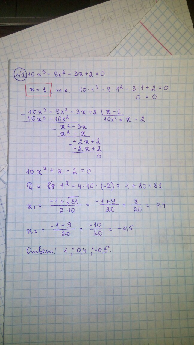
сначала нужно по последнему свободному члену найти один корень, а потом поделить уравнение по формуле (X-X1) (почитай в интернете как делить уравнения третьей степени), ну а дальше просто: через дискриминант находишь корни получившегося квадратного уравнения
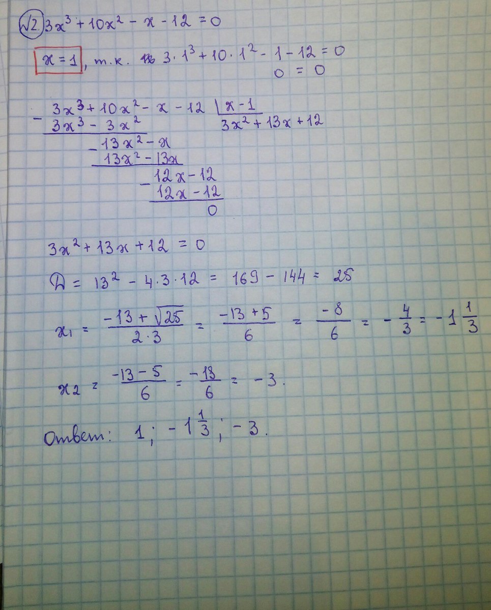
сначала нужно по последнему свободному члену найти один корень, а потом поделить уравнение по формуле (X-X1) (почитай в интернете как делить уравнения третьей степени), ну а дальше просто: через дискриминант находишь корни получившегося квадратного уравнения
Приложения:
Вас заинтересует
2 года назад
8 лет назад
10 лет назад
10 лет назад
10 лет назад