• Предмет: Алгебра
  • Автор: Keith1
  • Вопрос задан 10 лет назад

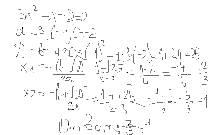
решите уравненения 3x^2-x-2=0

Ответы

Ответ дал: smailik
0
все расписала подробно
Приложения:
Вас заинтересует