• Предмет: Математика
  • Автор: Андрейкузнецов1
  • Вопрос задан 10 лет назад

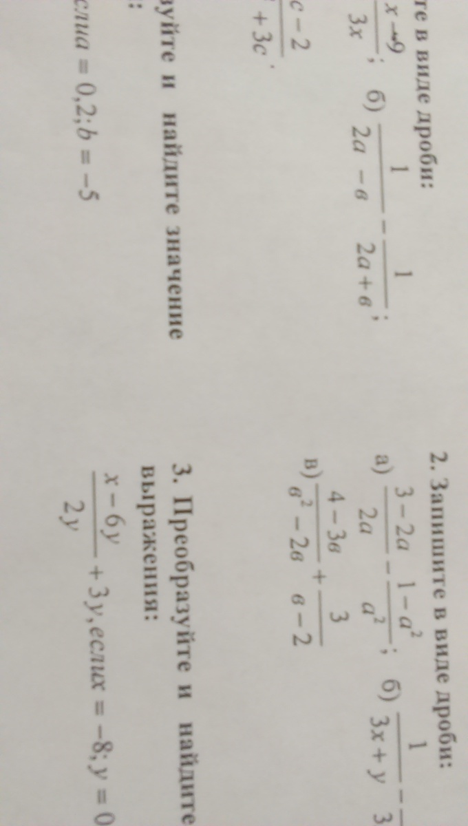
Плизз решити 2 справа,а в

Приложения:

Ответа на этот вопрос пока нет. Попробуйте найти его через форму поиска.

Вас заинтересует