• Предмет: Геометрия
  • Автор: kopytova19
  • Вопрос задан 10 лет назад

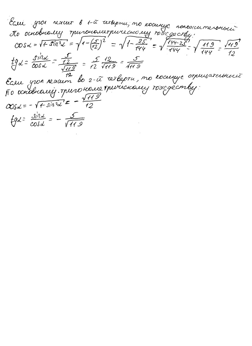
найти cos a и tg a, если sin=5/12

Ответы

Ответ дал: bearcab
0
Решение в приложении
Приложения:
Вас заинтересует