• Предмет: Алгебра
  • Автор: winbyo
  • Вопрос задан 10 лет назад

Вычислите определенный интеграл 7 задание а

Приложения:

Ответы

Ответ дал: Аноним
0
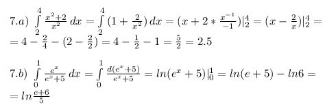
7.a),, intlimits^4_2 {frac{x^2+2}{x^2}} , dx =intlimits^4_2 {(1+frac{2}{x^2}) , dx =(x+2*frac{x^{-1}}{-1})|^4_2=(x-frac{2}{x})|^4_2=
=4-frac{2}4-(2-frac{2}2)=4-frac{1}2-1=frac{5}2=2.5
Приложения:
Вас заинтересует