• Предмет: Алгебра
  • Автор: Vector222
  • Вопрос задан 10 лет назад

Решите пожалуйста, прошу, очень надо.

Приложения:

Ответы

Ответ дал: лил23
0
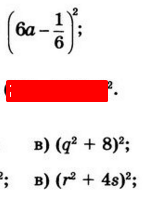
(6а-1/6)²=36а²+1/36
в)(q²+8)²=q⁴+64
в)(r²+4s)²=r⁴+14s²
Вас заинтересует