Ответы
Ответ дал:
0
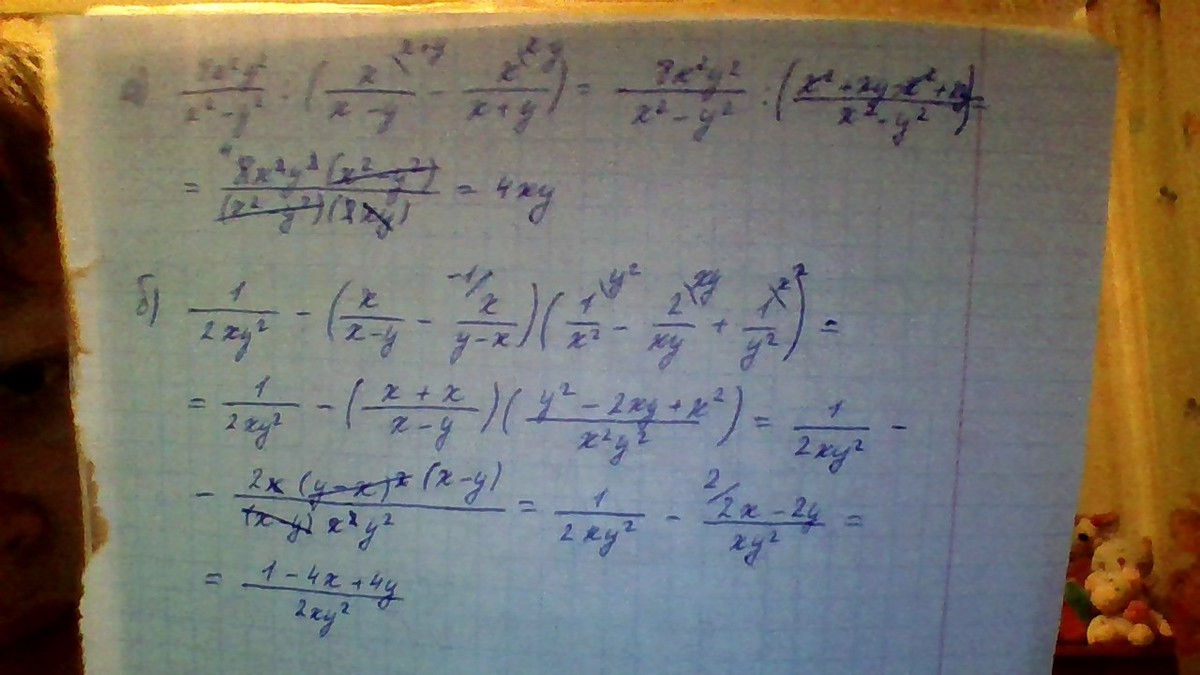
1) будет равен=> 4ху
Ответ дал:
0
А можно подробно?
Ответ дал:
0
вот.
Ответ дал:
0
подождите
Ответ дал:
0
8х^2у^2/х^2-у^2 : (х^2+ху-х^2+ху/х^2-у^2)=8х^2у^2/х^2-у^2 * х^2-у^2/2ху)={там все сокращается}=4ху
Ответ дал:
0
WIN_20160310_19_48_03_Pro
Приложения:


Вас заинтересует
2 года назад
2 года назад
7 лет назад
10 лет назад
10 лет назад
10 лет назад