• Предмет: Алгебра
  • Автор: LuckySoSo
  • Вопрос задан 10 лет назад

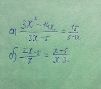
Рациональные и дробно-рациональные уравнения
Помогите решить, пожалуйста
Срочно!

Приложения:

Ответы

Ответ дал: GZZY
0
не оброщяйте внимание на то что сверху
Приложения:
Вас заинтересует