• Предмет: Алгебра
  • Автор: fogeim4a
  • Вопрос задан 10 лет назад

Уравнения срочно!!!!!
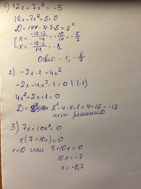
12x+7 x^{2} = -5
-2x-1=4 x^{2}
17x+10 x^{2} =0
(х^{2} - x в квадрате)

Ответы

Ответ дал: Nastya230102
0
если решать первые два через Дискриминант, то так) надеюсь верно.
Приложения:
Вас заинтересует