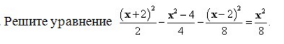
Ответы
Ответ дал:
0
вроде как то так, не знаю.
Приложения:

Вас заинтересует
2 года назад
7 лет назад
10 лет назад
10 лет назад
10 лет назад