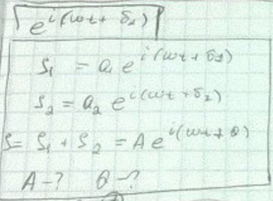
Оптика. Сложение колебаний. Найти амплитуду и сдвиг фазы. Полное условие в прикрепленном изображении.
Приложения:
Ответы
Ответ дал:
0
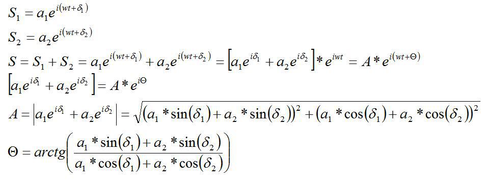
смотри решение во вложении
Приложения:
Вас заинтересует
2 года назад
2 года назад
8 лет назад
10 лет назад
10 лет назад
10 лет назад