• Предмет: Алгебра
  • Автор: Soragy
  • Вопрос задан 10 лет назад

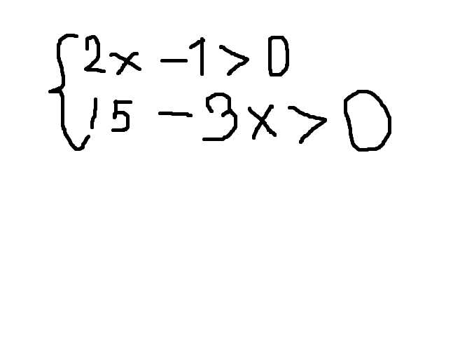
Решите систему неравенств:
Ответьте рисунком пожалуйста, спасибо 

Приложения:

Ответа на этот вопрос пока нет. Попробуйте найти его через форму поиска.

Вас заинтересует