• Предмет: Алгебра
  • Автор: Акселератка
  • Вопрос задан 11 лет назад

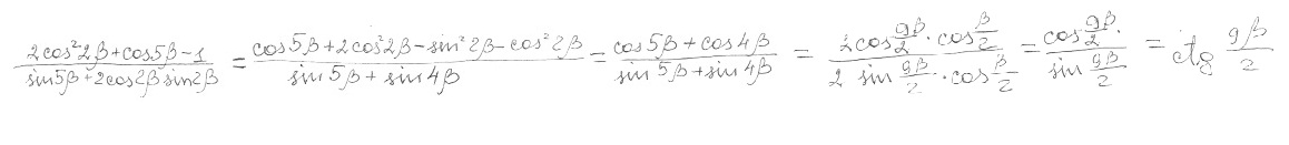
Помогите пожалуйста ребятки, ОЧЕНЬ СРОЧНО!!! с упрощением выражения! очень надо! задание во вложениях) ДАЮ БОЛЬШЕ 5 ПКТ! За мной голос за лучшее решение!

Приложения:

Ответы

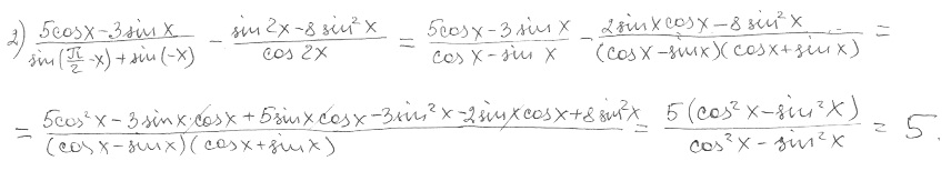
Ответ дал: Ellenochka
0

__________________________________

Приложения:
Вас заинтересует