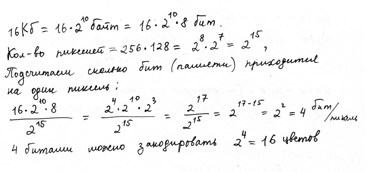
несжатое растровое изображение размером 256*128 пикселей занимает 16 Кб памяти.Каково максимальное возможное число цветов в палитре
изображений?
(напишите что дано и где начинается решение)
Ответы
Ответ дал:
0
наверное так (см. изображение ниже)
Приложения:

Вас заинтересует
2 года назад
2 года назад
7 лет назад
7 лет назад
10 лет назад
10 лет назад
10 лет назад
10 лет назад