• Предмет: Математика
  • Автор: Alina1536
  • Вопрос задан 10 лет назад

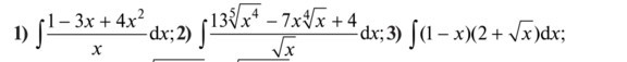
Помогите проинтегрировать, пожалуйста!

Приложения:

Ответа на этот вопрос пока нет. Попробуйте найти его через форму поиска.

Вас заинтересует