• Предмет: Алгебра
  • Автор: koty121
  • Вопрос задан 10 лет назад

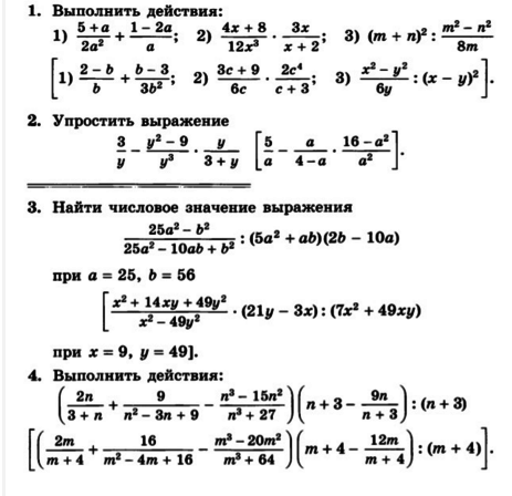
помогите пожалуйста прям очень срочно надо даю большое количества балов

Приложения:

Ответа на этот вопрос пока нет. Попробуйте найти его через форму поиска.

Вас заинтересует