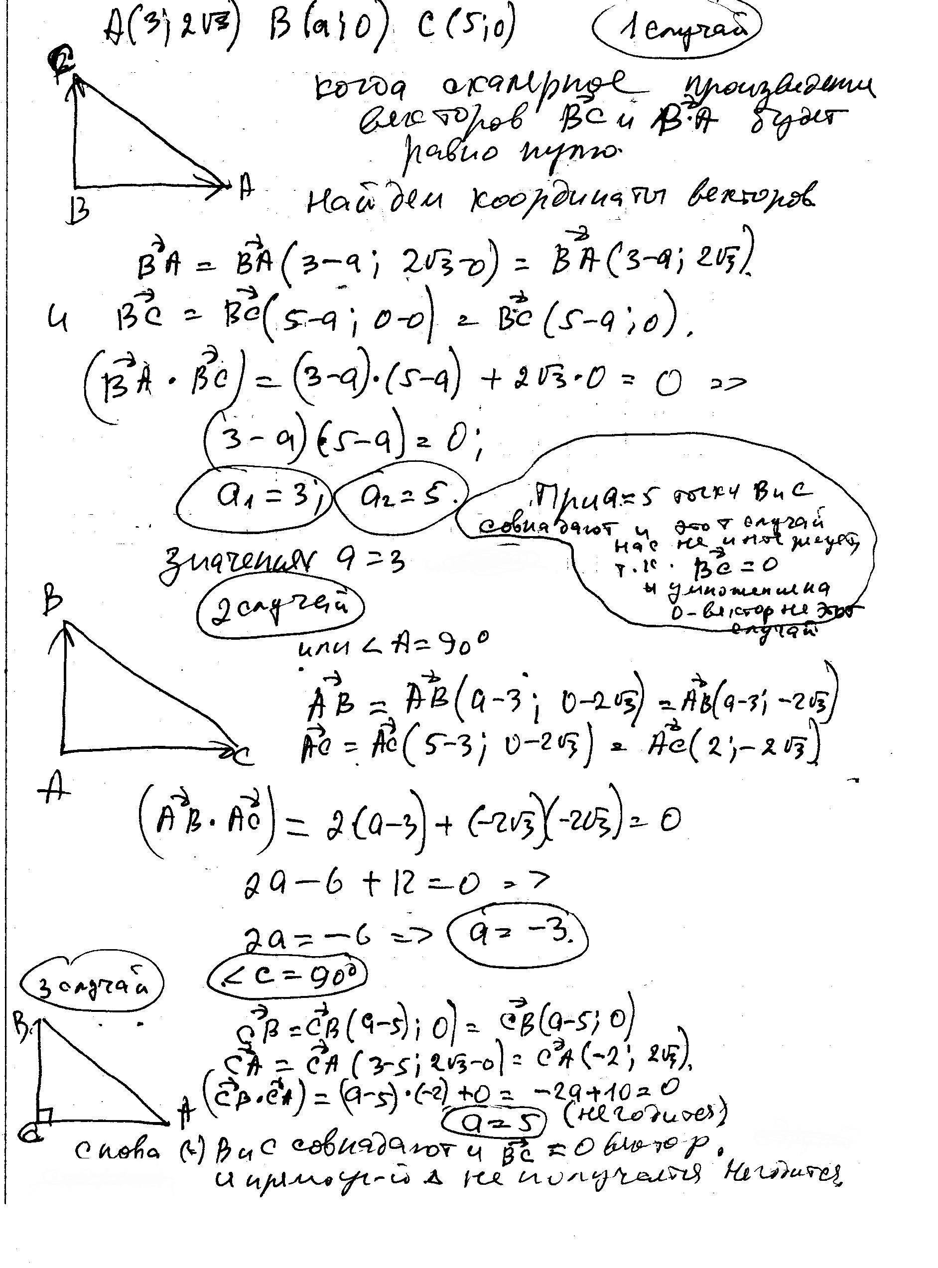
А(3;2 корень из 3);В(а;0);С(5;0).При каком значении а точки А,В и С будут являться вершинами прямоугольного треугольника.
Ответы
Ответ дал:
0
А(3;2 корень из 3);В(а;0);С(5;0).При каком значении а точки А,В и С будут являться вершинами прямоугольного треугольника.
При а= 3 и а = -3. Случай, когда а = 5 , скалярное произведение равно нулю, потому что векторы ВС и СВ превращаются в ноль-вектор и треугольника не получается. Этот ответ не годится.
При а= 3 и а = -3. Случай, когда а = 5 , скалярное произведение равно нулю, потому что векторы ВС и СВ превращаются в ноль-вектор и треугольника не получается. Этот ответ не годится.
Приложения:
Вас заинтересует
3 года назад
3 года назад
8 лет назад
8 лет назад
11 лет назад
11 лет назад