• Предмет: Математика
  • Автор: Тима123321
  • Вопрос задан 10 лет назад

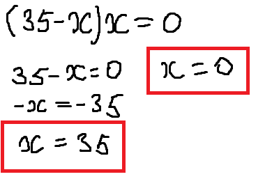
(35-х) х=0 помогите решить!!!

Ответы

Ответ дал: kristina00
0
решение на фото))))))))))
Приложения:
Ответ дал: Тима123321
0
Слуйчайно 2 звезды поставил
Ответ дал: Тима123321
0
Изени
Ответ дал: Тима123321
0
*Извени
Вас заинтересует